Александр Ракитский, г. Ижевск
Термин ЭМОС – ЭлектроМеханическая Обратная Связь – появился на страницах журнала “Радио” в 1970 году, и интерес к этой теме периодически то всплывает, то опускается. Решил внести свою лепту в эту тему и я.
Изучая статьи о ЭМОС [1-6, 9,10, 12], патенты [15, 16] и сайты [14], я не мог отделаться от мысли, что в требованиях к ЭМОС, в конструкциях, ее реализующих, чегото не хватает, а именно – для улучшения каких показателей и параметров звучания нужна ЭМОС, почему именно она позволяет решить эти проблемы.
Слава Богу, что в технической библиотеке родного завода залежались некоторые фолианты [7, 8,13, 17, 21], изучение которых и дало направление поисков новой реализации ЭМОС.
Итак, какие параметры ставятся во главу качественного звучания? Сразу посыпятся ответы – естественность, прозрачность, подлинность и т.д. и т.п. Но как “гостированы” эти показатели, объективны ли они? Точка зрения автора статьи – во главу угла необходимо положить динамические свойства слуха человека – потребителя аудиопродукции.
В [17] дано понятие постоянных времени слуха, правильнее говоря, граничных временных интервалах, определяющих переход от одних закономерностей слухового восприятия к другим. Так, приведены три временных параметра, составляющих около 200, 20 и 2 мс, в зависимости от того, идет ли речь об интегрировании, о различении двух сигналов или о маскировке. Естественно, эти параметры определены процессами обработки информации в нервной системе. Но наиболее коротким интервалом является длительность процесса установления различий в огибающей процесса установления колебаний, величина которого начинается с 0.25 мс. Это чрезвычайно малое время, необходимое для восприятия ухом появившегося звука, объясняет, почему процессы установления играютрешающую роль в распознавании
музыкальных инструментов и речи. Если, например, в звучании взятой на фортепиано ноты исключить процесс установления тона и послушать установившийся звук и
его постепенное замирание, то при этом нельзя будет идентифицировать звучание фортепиано. Аналогичный эксперимент можно проделать почти со всеми инструментами. Только по спектру установившегося звучания их не узнать. Для примера, послушайте концовку композиции Beatles “Day in the Life”, когда одновременно ударяют по сотням клавиш десятков фортепиано и долго-долго длится затухающий звук.
Поэтому в каналах звукоусиления не должно быть элементов, влияющих на процесс установления сигналов, все промежуточные электрические и акустические инерционные устройства не должны изменять характера временных процессов, протекающих за 0.25 мс или за большее время. Обычные электродинамические громкоговорители не отвечают этому требованию. Поэтому для высококачественного воспроизведения чаще пользуются головными телефонами, обеспечивающих более чистое и естественное (штамп, никуда не деться) звучание.
Для справки: короткие времена установления – от 2 до 40 мс – имеют начальные и конечные звуки речи, около 20 мс имеют медные духовые инструменты, смычковые
инструменты (при использовании смычка) имеют время установления до 100...150 мс.
Современные усилители низкой частоты имеют уровень нелинейных искажений ниже 0.001%, полосу пропускания – от долей Гц до МГц, скорость нарастания сигнала
≥1000 В/мксек, масштабную передачу формы сигнала и, практически, являются идеальными устройствами.
А вот у электродинамического громкоговорителя (основного вида электроакустического преобразователя) искажений – хоть отбавляй [8]. Причины: а) несовершенство
подвеса диффузора и центрирующей шайбы; б) неравномерность постоянного магнитного поля в рабочем зазоре и ряд других. Нелинейные искажения достигают 10%
и более для простейшего гармонического сигнала при его установившемся значении. Что же говорить об искажениях при воспроизведении динамических сигналов, на-
пример тональных импульсов (что будет показано позже), связанных с процессом установления тона музыкальных инструментов?
Наиболее используемым для улучшения работы громкоговорителя является охват обратной отрицательной связью громкоговорителя и усилителя низкой частоты путем снятия сигнала о том или ином параметре движения подвижной части диффузора громкоговорителя, его обработке и суммирования (с соответствующими фазовыми характеристиками) с сигналом, который поступает на вход усилителя мощности.
На рис. 1 показана общая схема построения ЭМОС, где:
- входной усилитель (предварительный усилитель);
- сумматор (вычитатель) сигнала с выхода предварительного усилителя 1 с сигналом обратной связи;
- усилитель мощности звуковой частоты;
- громкоговоритель;
- датчик для съема соответствующего параметра движения диффузора громкоговорителя;
- устройство обеспечения работы датчика и обработки сигнала, поступающего с датчика.
![]() |
||
| Рисунок 1. | ||
Анализ данной схемы проделан в различных статьях [1-6, 9, 10, 12], но наилучший анализ работы ЭМОС (на взгляд автора настоящей статьи) дан в [6], классифицировавшей имеющиеся схемотехнические решения применения ЭМОС, их плюсы и минусы.
Однако датчики ЭМОС, применяемые для улучшения работы излучателя, механически (датчик по ускорению – акселерометр) или гальванически (датчик или, точнее,
квазидатчик по скорости) связаны с излучателем – электродинамическим громкоговорителем, или с подвижной частью излучателя или, соответственно, со звуковой ка-
тушкой излучателя. Датчик по ускорению крепится на подвижную часть излучателя, добавляя массу подвижной части плюс упругость и нелинейность отходящих от него
проводов. Датчик по скорости не снимает объективно скорость подвижной части, да и сама скорость подвижной части громкоговорителя не является уж так необходи-
мой. Кроме этого, каким образом можно охватить обратной связью излучатели электростатического, изодинамического типа, где и как снимать соответствующий сигнал о движении подвижной части громкоговорителя – науке это до сих пор неизвестно...
Однако, до сих пор не было реализации ЭМОС по смещению подвижной части излучателя от положения равновесия или в комбинации с ее производными – скоростью или(и) ускорением. Возможно, причиной этого стало утверждение авторов [12], что: “…точно измерить смещение диффузора трудно. Гораздо легче измерить скорость или ускорение…”.
Первая попытка ЭМОС по смещению появилась в [15], но так и осталась на бумаге. С появлением [16] появилась возможность реализации ЭМОС по смещению.
Итак, предлагается ЭМОС по смещению подвижной части диффузора громкоговорителя, при этом датчик снятия информации о смещении подвижной части громкоговорителя механически и гальванически развязан от, соответственно, механической части – диффузора и его электрической части – катушки.
Структурная схема реализации ЭМОС по смещению показана на рис. 2, где:
- предварительный усилитель;
- сумматор-вычитатель сигнала с выхода предварительного усилителя и сигнала смещения;
- усилитель мощности звуковой частоты;
- громкоговоритель;
- датчик смещения;
- блок обеспечения работы датчика смещения и обработки сигнала с датчика смещения;
- блок питания для усилителя мощности и операционных усилителей.
![]() |
||
| Рисунок 2. | ||
Вначале – о датчике смещения. Принцип его работы прост – источник света 1 освещает поверхность (рис. 3а), свет от нее отражается (диффузно) и падает на фотопри-
емники 2, расположенные рядом с источником света 1. При стабильном источнике освещения, если происходит удаление освещаемой поверхности от источника света, – фотопоток на входе фотоприемника уменьшается. Если поверхность приближается – фотопоток на входе фотоприемника увеличивается. Таким образом, происходит амплитудная модуляция интенсивности фотопотока, падающего на фотоприемник (рис. 3б), которая содержит информацию о смещении подвижной части громкоговорителя от положения равновесия. Изменение фотопотока вызывает изменение тока, протекающего через фотодиоды и сопротивление R1 (фотодиодный режим работы [20]) (рис. 4), и, в конечном итоге, напряжения UR1, которое подается на блок обеспечения работы датчика и обработки сигнала датчика 6.
|
||||||
| Рисунок 3. | ||||||
Конструкция датчика представлена на рис. 4. Желателен подбор фотодиодов по току в пределах ±(10...15)%. Датчик устанавливается над громкоговорителем на расстоянии 27...35 мм, с внутренней стороны акустической системы. Напряжение, подаваемое на фотодиоды, варьируется в пределах +(24...34) В, но не более +40 В, так как возможен выход из строя фотодиодов. Корпус датчика взят от дросселя ДРТ-1 ЖВ4.759.011 ТУ. Напряжение, подаваемое на светодиод, в пределах +(2.2...2.7) В.
Структурная схема ЭМОС по смещению (рис. 2) работает следующим образом. Сигнал, от внешнего источника, пройдя через предварительный усилитель 1 и сумматор-вычитатель 2, поступает на вход усилителя мощности звуковой частоты 3. Усиленный сигнал с его выхода поступает на вход громкоговорителя 4, преобразующего электрические колебания звуковой частоты в смещение подвижной части громкоговорителя от положения равновесия и возбуждение, в свою очередь, звуковых колебаний в пространстве. С датчика смещения 5 снимается сигнал о смещении подвижной части громкоговорителя и подается для обработки на блок обеспечения работы датчика и обработки сигнала 6. С выхода блока 6 обработанный сигнал поступает на другой вход сумматора-вычитателя 2, замыкая, таким образом, обратную связь.
![]() |
||
| Рисунок 4. | ||
Однако, для организации отрицательной обратной связи необходимо знать соответствующие фазо-частотную и амплитудно-частотную характеристики смещения диффузора громкоговорителя по отношению к напряжению на входе громкоговорителя (ФЧХ и АЧХ зависят как от принципа преобразования электрического сигнала в колебания подвижной части громкоговорителя – электродинамический, электростатический, изодинамический и т.д., так и от вида акустического оформления – открытый ящик, открытый ящик с акустической панелью, закрытый ящик, фазоинвертор и т.д.). В нашем случае имеем электродинамический громкогово-
ритель в закрытом ящике. Графики снятых ФЧХ и АЧХ смещения диффузора громкоговорителя придставлены на рис. 5, где ФЧХ показана на рис. 5а, а АЧХ – на рис. 5б.
|
||||||
| Рисунок 5. | ||||||
Полученные характеристики позволили сделать следующие оценки и выводы.
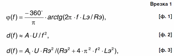
1. В [13] приведены ФЧХ по скорости и ускорения смещения подвижной части электродинамического громкоговорителя в акустическом оформлении типа “закрытый ящик”. ФЧХ (рис. 5а) смещения подвижной части логично дополняет их, возможна аппроксимация формулой (см. врезку 1, ф. 1):
где:
ϕ(f) – фазо-частотная характеристика смещения;
f – частота, Гц;
Lэ – эквивалентная индуктивность динамика;
Rэ – эквивалентное сопротивление динамика;
π – 3.141592.
АЧХ (рис. 5б) близка к оценке, приведенной в [1] (см. врезку 1, ф. 2):
где:
d (f) – амплитудно-частотная характеристика смещения;
А – размерный коэффициент;
U – напряжение на входе громкоговорителя;
f – частота в Гц.
А учитывая формулу для ФЧХ по смещению, возможна более точная аппроксимация (см. врезку 1, ф. 3) плюс учет резонанса акустического оформления (горб в районе 40...45 Гц на АЧХ и небольшой изгиб на ФЧХ).
|
|
2. Исходя из графика ФЧХ смещения подвижной части (рис. 5а) видно, что, начиная с 50 Гц, она уходит в область самовозбуждения, где ϕ(f) < (-90°). В тоже время, диапазон частоты, который должен воспроизводить сабвуфер, обычно лежит в пределах от 20 Гц до 120 Гц. Поэтому сигнал с датчика смещения требует соответствующей фазо-частотной и амплитудно-частотной коррекции, чтобы область самовозбуждения начиналась со 120 Гц или еще выше.
Это возможно реализовать с помощью фазоопережающего звена [22]. Схема фазоопережающего звена приведена на рис. 6, она входит в состав блока обеспечения работы датчика смещения и обработки сигнала смещения. В нем эту роль выполняют R2, C2, R3 и R4, C3, R5. На вход фазоопережающего звена подается сигнал с датчика смещения, происходит его коррекция, и на выходе получаем сигнал, ФЧХ и АЧХ которого приведены на рис. 5. ФЧХ стала более пологой (рис. 5а), а АЧХ (рис. 5б) в диапазоне 20...120 Гц стала более равномерной, чем сигнал на выходе датчика смещения, имеющий резкий спад после 50 Гц.
![]() |
||
| Рисунок 6. | ||
3. Введение ЭМОС по смещению улучшает передачу формы динамических сигналов, в частности, тонального импульса с частотой заполнения 40...100 Гц и длительностью 8...10 периодов частоты. На рис. 7а показана форма сигнала на входе громкоговорителя, на рис. 7б – форма колебаний подвижной части громкоговорителя до охвата его ЭМОС по смещению, на рис. 7в – форма колебаний подвижной части громкоговорителя при применении ЭМОС по смещению. Сравнительный анализ дает следующее: а) значительно уменьшились выбросы в моменты начала и окончания тонального импульса; б) амплитуда положительной фазы тонального импульса практически сравнялась с амплитудой отрицательной фазы тонального импульса; в) огибающая тонального импульса при применении ЭМОС стала гораздо ближе к прямоугольной, как у тонального импульса на входе громкоговорителя; г) по окончании импульса (при применении ЭМОС) отсутствует колебательный процесс диффузора на собственной резонансной частоте. Мнение слушателей следующее: а) отмечено пропадание или значительное уменьшение призвука в момент подачи тонального импульса (выброс на переднем фронте) при использовании ЭМОС по смещению по сравнению с аналогичным тональным импульсом без ЭМОС; б) слышен практически только тональный звук в случае применения ЭМОС.
|
||||||||
| Рисунок 7. | ||||||||
4. Изменив знак сигнала смещения при суммировании с основным сигналом с помощью сумматоравычитателя, осуществим положительную обратную связь. Резко воз-
росла АЧХ по смещению на низких и очень низких частотах, а с некоторой величины сигнала смещения, вводимого в сумматор-вычитатель, возникает самовозбуждение громкоговорителя на частоте около 5 Гц. Резко увеличиваются амплитуды переднего и заднего выбросов тонального импульса, его форма претерпевает еще большие искажения, значительно возрастает амплитуда и длительность затухающего колебательного процесса на частоте собственного резонанса диффузора по окончании действия тонального импульса.
Литература
- Митрофанов Ю., Пикерсгиль А. Электромеханическая обратная связь в акустических системах. - “Радио”, 1970, №5, стр. 25, 26.
- Акилов Б. Еще раз об электромеханической обратной связи в усилителях низкой частоты. - “Радио”, 1973, №3, стр. 43, 44.
- Митрофанов Ю., Пикерсгиль А. Новое в электромеханической обратной связи. - “Радио”, 1975, №3, стр.28, 29.
- Митрофанов Ю. Усилитель с ЭМОС на интегральных микросхемах. - “Радио”, 1976, №6, стр.32, 33.
- Митрофанов Ю., Пикерсгиль А. Усилители для акустических систем с электромеханической обратной связью. - “Радио”, 1971, №3, стр. 33, 34.
- Салтыков О. ЭМОС или отрицательное выходное сопротивление? - “Радио”, 1981, №1, стр. 40-44.
- Дрейзен И. Электроакустика и звуковое вещание. - Москва, “Радио”, 1961 г., стр. 53, 220, 221, 230-232.
- Сапожников М. Электроакустика. - Москва, “Радио”, 1978 г, стр. 129-142.
- Машкинов А. Устройство выделения сигнала ЭМОС. - “Радио”, 2002, №10, стр. 17, 18.
- Имас А. Усилитель с ЭМОС по ускорению диффузора. - “Радио”, 1981, №9, стр. 43, 44.
- Носов В. Конструирование громкоговорителя с ортогональными потоками излучения. - “Радио”, 2003, №12, стр. 14-16.
- Беспалов А., Пикерсгиль А. И снова об ЭМОС. - “Радио”, 1985, №7, стр. 33-36.
- Под общей редакцией Выходца А. Справочник по радиовещанию. - Киев, “Технiка”, 1981 г., стр. 195-197.
- Чей-то сайт – “Э.М.О.С. и TDA7294. Radeon – ru”.
- Заявка на патент, №2404368 от 27.09.1977 г., Франция, на 8-ми листах, Н 04 R 3/00 ; G 05 D 3/00.
- Заявка на изобретение №93029265/28 от 01.06.1993 г., Россия, H 04 R 3/00, 3/08. Ракитский А.Ф.
- Анерт В., Райхардт В. Основы техники звукоусиления. - М. “Радио и связь”, 1984 г., стр. 42, 43.
- Алексеенко А., Коломбет Е., Стародуб Г. Применение прецизионных аналоговых ИС. - М., “Радио и связь”, 1983 г., стр. 155.
- Лихачев В. Практические схемы на операционных усилителях. - М., “Радио и связь”, 1982 г., стр. 34-35.
- Тугов И., Шарупин Л. Оптоэлектроника. - М. “Радио и связь”, 1984 г., стр. 72-73.
- Алдошина И. Электродинамические громкоговорители. - М., “Радио и связь”, 1989 г., стр. 118-128.
- Бессекерский В., Попов Е. Теория систем автоматического регулирования. - М., “Наука”, 1975 г., стр. 266.
- Сырицо А. УМЗЧ на микросхеме TDA7294. - “Радио”, 2000, №5, стр. 19-21.


















