Концевые выключатели используются для отключения двигателя при достижении им одного из двух крайних положений. Даже если двигатель управляется контроллером на основе микропроцессора, необходимо предусмотреть защитную блокировку для аппаратного отключения двигателя. Такая схема работает, запрещая движение в одном направлении, но разрешая движение в другом, когда двигатель выводится из конечного положения. На Рисунке 1 показана схема с механическими выключателями. Однако в некоторых случаях этот древний механический подход может оказаться непригодным, поскольку ток двигателя может быть слишком большим, или в конструкции используются замыкающие выключатели или выключатели на основе фотобарьера.
![]() |
|
| Рисунок 1. | Эта схема работает, запрещая движение в одном направлении, но разрешая движение в другом, когда двигатель выводится из конечного положения |
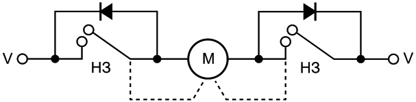
Если для управления двигателем используется H-мост, то можно выполнить ту же операцию более универсальным способом. Схема на Рисунке 2 закорачивает один вход Н-моста на землю, так что движение возможно только в противоположном направлении при включении другого входа. Если в конечных положениях выключатели размыкаются, схема на Рисунке 3 разрывает соединение с управляющей схемой одного входа и с помощью подтягивающего резистора устанавливает на входе низкий уровень. Эта же схема без изменений работает с фототранзисторами (Рисунки 4 и 5). Сопротивления резисторов зависят от используемых компонентов; 10 кОм должны работать в большинстве конструкций.
![]() |
|
| Рисунок 2. | Эта схема закорачивает один вход Н-моста на землю, так что движение возможно только в противоположном направлении при включении другого входа. |
![]() |
|
| Рисунок 3. | Эта схема разрывает соединение с управляющей схемой одного входа и с помощью подтягивающего резистора устанавливает на входе низкий уровень. |
![]() |
|
| Рисунок 4. | Это такая же схема, как на Рисунке 3, и она без изменений работает с фототранзисторами. |
![]() |
|
| Рисунок 5. | Эта схема аналогична схеме на Рисунке 4; сопротивления резисторов зависят от используемых компонентов. |











