Аннотация
В системах высокой надежности часто предусматривается питание от нескольких источников. В таких случаях необходимо использовать коммутаторы для разделения источников питания друг от друга во избежание повреждений. Это можно реализовать с помощью нескольких диодов в цепи питания. Однако более гибким и гораздо более эффективным способом решения этой задачи является использование идеальных диодов. В этой статье объясняется, в чем заключаются преимущества таких идеальных диодов. Показаны два варианта идеальных диодов: один, в котором выбор входной шины не зависит от уровня напряжения, и более простой, в котором система всегда питается от более высокого напряжения.
Введение
Существует множество приложений, которые могут работать от нескольких различных источников напряжения. Помимо основного источника питания, устройства с питанием от батареек часто оснащаются возможностью использования сетевого блока питания в качестве альтернативы. Также распространено использование сетевого AC/DC преобразователя в качестве дополнения к основному источнику питания через кабель USB.
Разнообразие источников питания устройства не только удобно для пользователя, но и обеспечивает повышенную надежность за счет резервирования источников энергии.
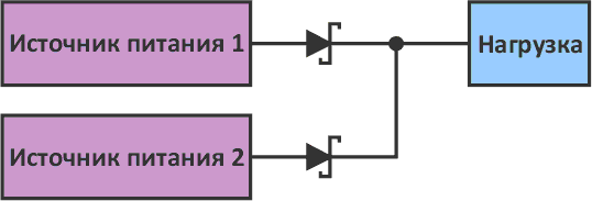
Использование различных источников напряжения требует более сложных схемотехнических решений. Часто необходимо гарантировать, что энергия одного источника не будет поступать обратно в другой, что может привести к его повреждению. На Рисунке 1 показана простая схема защиты соответствующего неиспользуемого источника напряжения. В цепи питания используются диоды. Это работает надежно, но имеет одно существенное ограничение. В такой схеме для питания нагрузки всегда используется источник энергии с более высоким напряжением. Кроме того, на диодах в цепи питания падет напряжение от 150 до 450 мВ, что приводит к значительным потерям мощности, особенно при низком напряжении. Для устройств с батарейным питанием повышенные потери мощности нежелательны.
![]() |
|
| Рисунок 1. | Два источника питания с диодами в силовой цепи для питания приложения. |
Обойти упомянутые недостатки можно с помощью идеальных диодов. Термин «идеальный диод» относится к компонентам, в которых вместо диода используется ключ (обычно MOSFET). В открытом состоянии идеальный диод имеет значительно меньшее падение напряжения. Это падение напряжения определяется фактическим током, протекающим через ключ, и зависит от его сопротивления во включенном состоянии (RDS(ON)).
На Рисунке 2 показана схема с двумя идеальными диодами, выполненная на двух микросхемах LT4422. Эти интегральные схемы имеют низкое падение напряжения благодаря низкому сопротивлению, вносимому в цепь питания, которое не превышает 50 мОм. Собственный ток, потребляемый микросхемой, составляет лишь 10 мкА, что дополнительно снижает общие потери. На Рисунке 2 показана дополнительная функция. Чтобы в любой момент времени видеть, какой источник напряжения питает нагрузку, можно добавить светодиодную индикацию.
![]() |
|
| Рисунок 2. | Два идеальных диода обеспечивают более высокий КПД и дополнительные функции. |
Таким образом, схема на Рисунке 2 является заменой схемы на Рисунке 1, с меньшим рассеиванием мощности и расширенными функциями, такими как светодиодная индикация.
Однако у схемы на Рисунке 2 осталась прежней одна особенность. Устройство питается от источника напряжения с более высоким значением напряжения. Идеальный диод (LT4422) имеет вход разрешения (SHDN), но когда входное напряжение превышает выходное, паразитный диод встроенного MOSFET становится проводящим. Для предотвращения этого существует производная от LT4422 – микросхема LT4423, в которой используются два встречно включенных MOSFET. Они расположены таким образом, что соответствующие паразитные диоды не пропускают ток, если одновременно не открыт другой MOSFET.
На Рисунке 3 показана схема, позволяющая произвольно выбрать источник для питания нагрузки. Таким образом, поведение схемы не зависит от уровня напряжения питания. Однако, поскольку в этой схеме интегрированы два MOSFET, сопротивление в цепи питания увеличивается с 50 мОм (LT4422) до 200 мОм (LT4423) во включенном состоянии.
![]() |
|
| Рисунок 3. | Два идеальных диода с возможностью выбора источника питания независимо от напряжения соответствующего источника. |
Наконец, версия с двумя MOSFET на основе микросхемы LT4423 также поддерживает интегрированную функцию защитного отключения при перегреве. В отличие от обычного диода, этот идеальный диод отключается при нагревании выше 160 °C (типовое значение). Эта функция позволяет создать еще более надежную систему.
Идеальные диоды не только позволяют использовать различные варианты питания устройства, но и обеспечивают повышенную надежность за счет реализованного резервирования. Кроме того, идеальные диоды позволяют добавить такие функции, как индикация статуса источника питания с помощью светодиода и защитное отключение при превышении допустимых температур.
Заключение
Идеальные диоды являются полезной заменой обычных диодов для повышения КПД систем с несколькими источниками питания. Помимо снижения потерь мощности, такие идеальные диоды также обеспечивают гибкость и дополнительные функции. Они просты в использовании и проектировании. Это утверждение особенно справедливо при использовании устройств с высокой степенью интеграции, таких как LT4422 и LT4423.






Купить LT4422 на РадиоЛоцман.Цены


