Помощь в переводе проектов на ПЛИС азиатских брендов

Изолированному обратноходовому преобразователю с входным напряжением 560 В не нужны оптроны

Linear Technology LT8315

Журнал РАДИОЛОЦМАН, апрель 2017

George Qian, Linear Technology

Design Note 559

АЦП азиатских производителей. Часть 3. Многоканальные АЦП с синхронной выборкой

Введение

В обычных высоковольтных изолированных обратноходовых преобразователях точное регулирование выходного напряжения выполняется с использованием оптоизоляторов, передающих сигналы обратной связи с вторичной стороны схемы на первичную. Проблема состоит в том, что задержка распространения, старение и изменение усиления оптронов значительно усложняют частотную компенсацию петли обратной связи и могут стать причиной снижения надежности устройства. Кроме того, для питания микросхемы в первый момент времени после включения требуются либо высоковольтная схема запуска, либо резистор предварительной нагрузки. А если в схему не добавить дополнительный высоковольтный MOSFET, этот резистор будет источником нежелательных потерь мощности.

Микросхема LT8315 представляет собой высоковольтный обратноходовой преобразователь с внутренним ключом 630 В/300 мА. LT8315 не требует использования оптоизоляторов, сложных опорных схем на вторичной стороне, элементов запуска и внешнего высоковольтного MOSFET.

Простота и совершенство характеристик

В 20-выводном корпусе TSSOP микросхемы LT8315, четыре вывода в котором удалены для увеличения высоковольтного изолирующего промежутка, интегрированы 630-вольтовый MOSFET и схема управления. Получая сигнал обратной связи с третьей обмотки трансформатора, микросхема не нуждается в оптоизоляторе. Выходное напряжение задается двумя внешними резисторами и необязательным третьим резистором температурной компенсации. Работа в режиме критической проводимости позволяет достичь отличной стабильности выходного напряжения по нагрузке. Поскольку измерение выходного напряжения происходит в те моменты, когда ток вторичной стороны почти равен нулю, какие-либо внешние резисторы или конденсаторы компенсации не требуются. В результате решения на микросхеме LT8315 содержат небольшое количество компонентов, существенно упрощая конструирование изолированных обратноходовых преобразователей.

Изолированному обратноходовому преобразователю с входным напряжением 560 В не нужны оптроны
Рисунок 1. Полная схема 12-вольтового изолированного обратноходового преобразователя
для широкого диапазона входных напряжений от 20 В до 450 В.

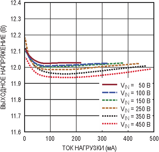
На Рисунке 1 показана полная схема обратноходового преобразователя с широким диапазоном входных напряжений от 20 В до 450 В. Схема с высокой точностью стабилизирует выходное напряжение 12 В, а ток нагрузки может меняться от 5 мА до значений, превышающих 440 мА. Максимальный выходной ток увеличивается с ростом входного напряжения и может достигать 440 мА, когда входное напряжение превысит 250 В. КПД этого обратноходового преобразователя равен 85%. Несмотря на отсутствие оптоизолятора, качество стабилизации, как по нагрузке, так и по входному напряжению, остается высоким (Рисунок 2).

Изолированному обратноходовому преобразователю с входным напряжением 560 В не нужны оптроны
Рисунок 2. Зависимости выходного напряжения от тока нагрузки
для разных входных напряжений.

Внутренний MOSFET в режиме обеднения для запуска схемы

В микросхеме LT8315 имеется внутренний нормально открытый MOSFET, работающий в режиме обеднения с отрицательным напряжением порога. При включении схемы этот MOSFET до 12 В заряжает подключенный к выводу INTVCC конденсатор, тем самым обеспечивая LT8315 питанием для начала работы генератора. В результате отпадает необходимость во внешнем резисторе предварительной нагрузки или других компонентах поддержки запуска. Когда заряд конденсатора на входе INTVCC заканчивается, для снижения рассеиваемой мощности MOSFET с обедненным каналом выключается.

Низкий ток потребления

Обычно для LT8315 требуется небольшая предварительная нагрузке выхода, которая со стороны входа воспринимается как дополнительный ток, потребляемый микросхемой. При очень легких нагрузках LT8315 снижает частоту переключения, сохраняя при этом ток на минимальном уровне, достаточном для правильного измерения выходного напряжения. Типичное минимальное значение частоты переключения составляет примерно 3.5 кГц. При включении режима ожидания происходит дальнейшее снижение минимальной частоты в 16 раз до 220 Гц, и собственный ток потребления уменьшается до ультранизких значений.

Обычно в режиме ожидания на предварительную нагрузку расходуется менее 0.1% от полной выходной мощности, а ток потребления остается ниже 100 мкА, что весьма важно для обеспечения высокого КПД постоянно включенных систем.

Неизолированный понижающий преобразователь

Благодаря способности LT8315 работать при высоком входном напряжении, микросхему очень легко использовать в неизолированных решениях. В отличие от изолированных, неизолированным преобразователям не нужны трансформаторы, вместо которых в качестве индуктивного компонента используются сравнительно недорогие стандартные дроссели.

При построении неизолированных понижающих преобразователей вывод земли LT8315 подключается к узлу коммутации с меняющимся напряжением. Уникальная схема измеряет выходное напряжение только в те моменты, когда узел коммутации подключен к земле, что упрощает конструкцию понижающего преобразователя (Рисунок 3). Диод D2 и два резистора на входе FB образуют цепь обратной связи.

Изолированному обратноходовому преобразователю с входным напряжением 560 В не нужны оптроны
Рисунок 3. Схема неизолированного понижающего преобразователя:
входное напряжение 20 В … 560 В, выходное напряжение
12 В при токе нагрузки 120 мА.

Показанная на Рисунке 3 схема неизолированного понижающего преобразователя обеспечивает нагрузку стабилизированным выходным напряжением 12 В при очень широком диапазоне входных напряжений от 20 В до 560 В. КПД схемы может достигать 85%.

Заключение

LT8315 работает в широком диапазоне напряжений от 18 В до 560 В, отдавая на изолированном выходе мощность до 15 Вт. Не нуждающаяся в оптоизоляторе микросхема имеет низкий ток потребления и реализует множество функций, среди которых режим генерации пачек (Burst Mode) с низким уровнем пульсаций, мягкий запуск, программируемый порог ограничения тока, блокировка при недостаточном входном напряжении и температурная компенсация прямого напряжения выходного диода.

Высокий уровень интеграции упрощает разработку эффективных и простых решений в широком диапазоне приложений – от приборов с батарейным питанием до источников питания автомобильных, промышленных, медицинских и телекоммуникационных устройств, а также изолированных вспомогательных систем электропитания, в частности, бытового назначения.

Материалы по теме

Перевод: AlexAAN по заказу РадиоЛоцман

На английском языке: 560V Input, No-Opto Isolated Flyback Converter

27 предложений от 12 поставщиков
AC to DC Switching Converter Flyback 1.26V 250kHz Tube Automotive 16-Pin TSSOP
AllElco Electronics
Весь мир
LT8315EFE#TRPBF
Analog Devices
от 176 ₽
Элитан
Россия
LT8315EFE
Analog Devices
1 310 ₽
Hi-Tech Circuit Group
Весь мир
LT8315HFE#TRPBF
Analog Devices
по запросу
Augswan
Весь мир
LT8315HFE#TRPBF
Analog Devices
по запросу
ТМ Электроникс. Электронные компоненты и приборы. Скидки, кэшбэк и бесплатная доставка
Для комментирования материалов с сайта и получения полного доступа к нашему форуму Вам необходимо зарегистрироваться.
Имя
Фрагменты обсуждения:Полный вариант обсуждения »
  • Диапазон входных напряжений впечатляет. Всё бы хорошо, если б не цена! Главный недостаток.