МЭМС-технологии получили известность в первую очередь благодаря различным датчикам. Однако существуют и другие приложения, в которых микромеханические системы оказываются чрезвычайно перспективными. Ярким примером этого являются интегральные МЭМС-генераторы от компании SiTime. Они по многим параметрам превосходят привычные кварцевые резонаторы. Среди их основных достоинств можно отметить: малые габариты, высокую точность, отличную температурную стабильность. Особую группу среди продуктов SiTime составляют микропотребляющие генераторы мегагерцового диапазона SiT8021 и часовые генераторы SiT15xx.
![]() |
|
| Рис. 1. | Миниатюрные и микропотребляющие МЭМС-генераторы от SiTime. |
Кварцевые резонаторы – надежное решение, использующееся разработчиками электроники в течение многих лет. Однако, в последнее время, с расцветом мобильных приложений и технологии Интернета вещей (IoT), они стали доставлять некоторые проблемы. Это касается в первую очередь вопросов потребления и габаритов. Если сложности с размещением иногда удается обойти за счет применения наиболее современных миниатюрных корпусных исполнений, то проблемы потери мощности решить значительно сложнее.
В качестве примера можно привести анализ уровня потребления контроллеров STM8S003. Если тактирование этих микроконтроллеров производить от внешнего резонатора (HSE), то при частоте 16 МГц типовое потребление составит 4.5 мА. Из этого значения 1.2 мА приходится на питание резонатора, что составляет 26%. Конечно, можно перейти на внутренний RC-генератор, но и он «съест» 170 мкА, при этом придется пожертвовать точностью и температурной стабильностью. Новые МЭМС-генераторы от SiTime позволяют сократить потребление по сравнению с традиционными кварцевыми резонаторами на 90% и при этом не проигрывать в точности.
Суть решения, предложенного SiTime, заключается в создании генераторов на базе микроскопических МЭМС-резонаторов. При этом удается снизить стоимость конечного продукта, уменьшить габариты, добиться отличной температурной стабильности и минимального потребления.
Физически для создания микромеханического резонатора используются традиционные кремниевые технологии. В упрощенной форме процесс выращивания резонатора состоит из нескольких этапов. На поверхности p-легированного слоя кремния создается слой из диоксида кремния SiO2. С помощью операций травления слою кремния придают заданную структуру, которая определяет диапазон частот будущего резонатора. Далее канавки заполняются диоксидом, а на поверхности наращивается слой поликремния. После этого происходит самый интересный этап – удаление слоя диоксида кремния через пористые каналы, формируемые в поликремнии (Рис. 2). В результате слой кремния оказывается «освобожденным» и способным к колебаниям. Далее поры заращиваются, что делает резонатор полностью защищённым от внешней среды: от давления, влажности и т. д.
![]() |
|
| Рис. 2. | Перфорация поликремния и вытравливание SiO2 для «освобождения» резонатора. |
Резонаторы, создаваемые в p-легированном слое кремния, имеют причудливую форму, которая определяет диапазон частот генератора (Рис. 3).
![]() |
|
| Рис. 3. | Структура микромеханических резонаторов. |
Возбуждение резонатора производится с помощью трансдьюсеров и дополнительного драйвера. По этой причине генераторы SiTime представляют собой двухкомпонентные микросхемы, состоящие из кристалла резонатора и кристалла схемы управления (Рис. 4).
![]() |
|
| Рис. 4. | Структура интегральных МЭМС-генераторов от SiTime. |
Схема управления включает в себя: драйвер для возбуждения резонатора, усилитель для приема сигналов от него, ФАПЧ и делитель для формирования выходного сигнала требуемой частоты, выходной драйвер, регулятор питания. Интересно, что частота выходного тактового сигнала зависит только от параметров ФАПЧ и коэффициентов делителя, которые хранятся в блоке однократно программируемой памяти. Это дает возможность использовать один и тот же регулятор для различных частот.
МЭМС-резонатор отличается повышенной температурной стабильностью даже при отсутствии температурной компенсации. Типовое значение рассогласования для генераторов от SiTime не превышает 100 ppm во всем рабочем диапазоне температур. Для получения еще более высокого результата используется цепь компенсации, включающая датчик температуры и ЦАП (Рис. 4). При этом удается добиться точности ±5 ppm.
Если анализировать характеристики МЭМС-генераторов мегагерцового диапазона, то окажется, что они значительно превосходят классические кварцевые резонаторы на частотах до 70 МГц. Это наиболее ярко выражается в версиях с встроенной температурной компенсацией (Рис. 5). Для термокомпенсированных моделей МЭМС-генераторов с начальной точностью 10 ppm температурная погрешность практически отсутствует, в то время как для кварцевых резонаторов она составляет 10 ppm в диапазоне рабочих температур. Модели МЭМС-генераторов с начальной точностью 25 ppm без температурной компенсации, хотя и имеют температурную погрешность, но она оказывается на уровне кварцевых резонаторов с 10 ppm.
![]() |
|
| Рис. 5. | Стабильность высокочастотных интегральных МЭМС-генераторов от SiTime. |
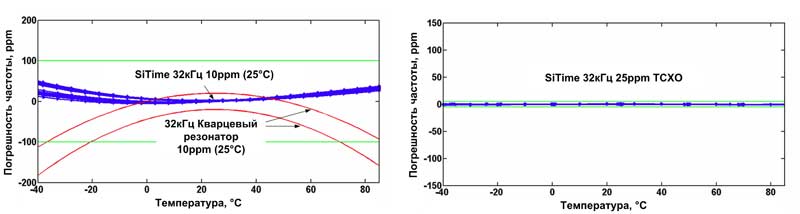
Стабильность часовых МЭМС-генераторов также оказывается лучше, чем у кварцевых аналогов. Подгонка частоты часовых МЭМС-генераторов до начальной точности 10 ppm производится при температуре 25 °C. Погрешность частоты для них имеет параболическую зависимость от температуры, при этом абсолютное значение остается в рамках 100 ppm (Рис. 6). В то же время традиционные кварцевые резонаторы подгоняются до 10 ppm при 25 °C, но во всем диапазоне рабочих температур погрешность превышает 100 ppm. Если говорить о часовых МЭМС-генераторах с температурной компенсацией (TCXO), то для них удается добиться погрешности ±5 ppm во всем диапазоне температур!
![]() |
|
| Рис. 6. | Стабильность часовых интегральных МЭМС-генераторов от SiTime. |
Таким образом, МЭМС-генераторы, по сравнению с традиционными кварцевыми резонаторами, позволяют добиться следующих преимуществ:
- сокращение габаритов на 80%;
- значительное повышение температурной стабильности;
- снижение потребления до 90%.
Последний пункт напрямую относится к группе микропотребляющих МЭМС-генераторов, состоящей из двух семейств: генераторы мегагерцового диапазона SiT8021 и часовые генераторы SiT1576.
SiT8021 – генераторы мегагерцового диапазона с рекордно низкими габаритами 1.5 × 0.8 мм. Потребление SiT8021 оказывается значительно ниже, чем у кварцевых резонаторов. Так, например, МЭМС-генератор с частотой 6.144 МГц потребляет в типовом случае без нагрузки всего 110 мкА! Типовое потребление для модели 12 МГц равно 160 мкА.
Семейство объединяет модели с частотами 1…26 МГц. Доступны два исполнения с рабочими диапазонами температур: –20…70 °С и –40…85 °С. Погрешность частоты для обоих исполнений составляет 100 ppm.
Семейство SiT15xx включает несколько часовых МЭМС-генераторов 32.768 кГц с различными особенностями. Потребление для этой группы определяется суммой питающих токов ядра и выходного буфера. В типовом случае ядро потребляет 0.6 мкА, а в худшем 1.3 мкА. Типовой питающий ток драйвера зависит от напряжения и вычисляется по формуле: Iпотр = Uпит × 0.065 мкА/В. Для худшего случая формула имеет вид: Iпотр = Uпит × 0.125 мкА/В. Таким образом, для напряжения 1.8 В потребление в типовом случае составит всего 1.017 мкА, а в худшем случае не превысит 1.525 мкА!
SiT1532 – базовая версия 32.768 кГц часового МЭМС-генератора. Выпускается в корпусном исполнении 1.5 × 0.8 мм для двух диапазонов рабочих температур: –20…70 °С и –40…85 °С. Начальная погрешность частоты составляет 10 ppm, полная погрешность во всем диапазоне температур ограничена 75 ppm или 100 ppm.
SiT1533 – версия часового МЭМС-генератора с начальной точностью 20 ppm. Полная погрешность во всем диапазоне температур ограничена 75 ppm или 100 ppm. Выпускается в корпусном исполнении 2.0 × 1.2 мм для двух диапазонов рабочих температур: –20…70 °С и –40…85 °С.
SiT1630 – версия часового МЭМС-генератора с характеристиками, аналогичными SiT1533, но с другими рабочими диапазонами температур (–10…70 °С, –40…85 °С, –40…105 °С) и полной погрешностью 75/150 ppm.
SiT1566 и SiT1568 – версии 32.768 кГц часового МЭМС-генератора с термокомпенсацией (TCXO). Полная погрешность для этих моделей составляет ±5 ppm во всем диапазоне температур: –20…70 °С и –40…85 °С. Выпускается в корпусном исполнении 1.5 × 0.8 мм с рабочим напряжением 1.8 В.
SiT1552 – термокомпенсированный часовой МЭМС-генератор с полной погрешностью ±10 ppm или ±20 ppm. Доступны версии для двух диапазонов температур: 0…70 °С и –40…85 °С. Выпускается в корпусном исполнении 1.5 × 0.8 мм и рабочим напряжением 1.5…3.63 В.
SiT1534 – МЭМС-генераторы с программируемой частотой от 1 Гц до 32.768 кГц. Выпускаются в корпусных исполнении 1.5 × 0.8 мми 2.0 × 1.2 мм с рабочим напряжением 1.2…3.63 В. Полная погрешность для этой модели составляет ±20/75/100 ppm во всем диапазоне температур: –10…70 °С и –40…85 °С.
SiT1576 – МЭМС-генераторы с программируемой частотой от 1 Гц до 1 МГц. Выпускаются в корпусном исполнении 1.5 × 0.8 мм с рабочим напряжением 1.8 В. Полная погрешность частоты для SiT1576 составляет ±5 ppm во всем диапазоне температур: –20…70 °С и –40…85 °С.
МЭМС-генераторы устанавливают новые стандарты по потреблению, габаритам и точности. Они способны вытеснить традиционные кварцевые резонаторы из целого ряда приложений. Конечно, речь не идет о космической или военной технике. Основной областью применения для новых МЭМС-генераторов станут мобильные системы: планшеты, смартфоны, медицинские портативные приборы (например, глюкометры), плейеры, умные часы и т. д. Также МЭМС-генераторы представляют особый интерес для автономных и сетевых датчиков, например, для сетей IoT.
Характеристики микропотребляющих МЭМС-генераторов SiT8021:
- диапазон частот: 1…26 МГц;
- диапазон рабочих температур: –20…70 °С, –40…85 °С;
- стабильность частоты: 100 ppm;
- среднеквадратичный джиттер: 0.8 нс;
- потребление: 230 мкА (6.144 МГц, нагрузка 10 пФ);
- номинальное напряжение питания: 1.62…1.98 В;
- корпус: 1.5 × 0.8 мм.
Характеристики микропотребляющих программируемых МЭМС-генераторов SiT1576:
- диапазон частот: 1 Гц…1 МГц;
- диапазон рабочих температур: –20…70 °С, –40…85 °С;
- стабильность частоты: ±5 ppm;
- среднеквадратичный джиттер: 2.5 нс;
- потребление: 20 мкА (1 МГц);
- номинальное напряжение питания: 1.62…1.98 В;
- корпус: 1.5 × 0.8 мм.
Характеристики микропотребляющих часовых МЭМС-генераторов SiT1532:
- диапазон частот: 32.768 кГц;
- диапазон рабочих температур: –20…70 °С, –40…85 °С;
- стабильность частоты: 10 ppm (комнатная температура), 75…100 (весь диапазон температур);
- среднеквадратичный джиттер: 35 нс;
- потребление ядра микросхемы: 1.4 мкА;
- номинальное напряжение питания: 1.2…3.63 В;
- корпус: 1.5 × 0.8 мм.
О компании

SiTime Corporation – основной разработчик и поставщик МЭМС-генераторов. Компания предлагает высокочастотные и часовые МЭМС-генераторы, как альтернативу традиционным кварцевым резонаторам в мобильных приложениях и IoT. МЭМС-генераторы отличаются сверхнизким потреблением, малыми габаритами и высокой температурной стабильностью.
Посмотреть подробнее характеристики микропотребляющих МЭМС-генераторов от SiTime












