Часто от входного источника питания требуется стабильное напряжение, которое выше и ниже выходного. Распространенным решением является использование повышающего преобразователя с последующим LDO регулятором, как показано на Рисунке 1. Повышающий преобразователь сконфигурирован на прием напряжений в диапазоне от 3 В до 6 В и выдачу на выходе напряжения 6.25 В. Затем напряжение 6.25 В стабилизируется и понижается до 5 В с помощью LDO регулятора. В обоих каскадах этого решения имеются некоторые потери преобразования. Более простое однокаскадное решение с повышающим преобразователем обеспечивает более высокий КПД. Это простое решение с использованием p-канального полевого транзистора представлено в деталях и сравнивается с обычным решением.
|  | |
| Рисунок 1. | Типичный стабилизатор 5 В с повышающим преобразователем и LDO регулятором. | 
При использовании повышающего преобразователя, чтобы избежать значительных потерь, выходное напряжение должно быть выше самого высокого входного напряжения. Поэтому выходное напряжение повышающего преобразователя на Рисунке 1 установлено равным 6.25 В. Для получения желаемого конечного напряжения 5 В используется включенный за ним регулятор с низким падением напряжения (LDO). КПД этой системы ηSYSTEM можно вычислить на основании КПД каждого из компонентов по следующей формуле:

КПД повышающего преобразователя ηBOOST обычно составляет 90%, однако КПД LDO регулятора ηLDO определяется отношением выходного напряжения к входному (5 В/6.25 В) и равно 77%. Общий КПД составляет 69%. Эта разница является компромиссом между необходимым напряжением на выходе повышающего преобразователя, падением на LDO регуляторе и запасом для системы.
Для существенного повышения КПД этой системы необходимо однокаскадное решение. Однокаскадная повышающая схема показана на Рисунке 2. Диод Шоттки, включенный последовательно с p-канальным полевым транзистором, поддерживает на выходе преобразователя напряжение, превышающее выходное напряжение системы, способствуя работе повышающего преобразователя в режиме высокого КПД. Значение напряжения на выходе повышающего преобразователя задается комбинацией напряжения включения полевого транзистора и выходного напряжения делителя, подаваемого на его затвор.
|  | |
| Рисунок 2. | Стабилизация напряжения 5 В с повышающим преобразователем и полевым транзистором. | 
Полевой транзистор работает как линейный резистор с пороговым напряжением VGS, равным 1.0 В. Он полностью включен, когда входное напряжение ниже 4.2 В. Когда входное напряжение превышает 4.2 В, напряжение на выводе 10 повышающего преобразователя должно подняться выше входного напряжения. Поэтому делитель напряжения R5 и R6 начинает выключать транзистор, чтобы увеличить сопротивление канала. Это добавляемое сопротивление дополнительно изолирует выход повышающего преобразователя от выхода системы и добавляет падение напряжения на сопротивлении канала, позволяя преобразователю сохранять высокий КПД и стабильность. Сочетание порогового напряжения VGS полевого транзистора и отношения сопротивлений резисторов делителя R5 и R6 определяет уровень входного напряжения, при котором транзистор полностью закрывается.

Сравнение КПД двух систем представлено на Рисунке 3. При преобразовании низкого входного напряжения (3.3 В) в 5 В повышающий преобразователь с полевым транзистором уверенно обеспечивает на 8% более высокий КПД по сравнению с комбинацией преобразователя и LDO, показанной на Рисунке 1. При большей нагрузке на схему (например, при VIN = 5 В) КПД схемы преобразователь + транзистор остается более высоким – около +4% при небольшом токе и +2% при высоком (Рисунок 4).
|  | |
| Рисунок 3. | Сравнение КПД комбинаций преобразователь/LDO и преобразователь/транзистор при VIN = 3.3 В и VOUT = 5 В. | 
|  | |
| Рисунок 4. | КПД комбинации из повышающего преобразователя и полевого транзистора при VIN = 5 В и VOUT = 5 В. | 
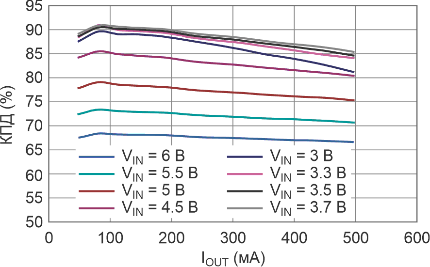
Для оценки КПД при различных входных напряжениях приведен Рисунок 5. При входном напряжении меньшем или равном выходному, КПД системы значительно превышает 80%. При увеличении входного напряжения КПД падает примерно на 1% на каждые 100 мВ. Для демонстрации зависимости точности выходного напряжения от выходного тока на Рисунке 6 показана кривая нестабильности выходного напряжения по нагрузке.
|  | |
| Рисунок 5. | КПД комбинации из повышающего преобразователя и полевого транзистора для VOUT = 5 В при различных VIN. | 
|  | |
| Рисунок 6. | Нестабильность выходного напряжения по току нагрузки для комбинации из повышающего преобразователя и полевого транзистора. | 



 Купить EL7515 на РадиоЛоцман.Цены
Купить EL7515 на РадиоЛоцман.Цены


